视觉SLAM学习笔记:三
第四章
李群和李代数
群
群(Group)是一种集合加上一种运算的代数结构
若集合记作$A$,运算记作$\cdot$,那么群就可以记作$G=(A,\cdot)$
这个运算需要满足以下条件:
- 封闭性: $\forall a_{1},a_{2}\in A, a_{1} \cdot a_{2}\in A$
- 结合率: $\forall a_{1},a_{2},a_{3}\in A,(a_{1}\cdot a_{2})\cdot a_{3}=a_{1}\cdot (a_{2}\cdot a_{3})$
- 幺元: $\exists a_{0} \in A,$ $s.t.$ $a\cdot a^{-1}=a_{0}$
- 逆: $\forall a\in A,\exists a^{-1} \in A$, $s.t.$ $a\cdot a^{-1}=a_{0}$
可以记为:“凤姐咬你”
$SO(3)与SE(3)$
三维旋转矩阵构成特殊正交群(Special Orthogonal Group)$SO(3)$
变换矩阵构成特殊欧氏群(Special Euclidean Group)$SE(3)$
李群
李群是指具有连续(光滑)性质的群
对于整数$\mathbb{Z}$,由于是离散的,所以就不是李群
李代数
我们从旋转矩阵$R$引出
由于旋转矩阵是正交矩阵,故有:$$R R^T=I$$
令其随时间变化,记为:$$R(t) R(t)^T =I$$
两边对时间求导有:$$\dot{R(t)} R(t)^T + R(t) \dot{R}(t)^T =0$$
整理得:$$\dot{R(t)}R(t)^T = -(\dot{R}(t)R(t)^T)^T$$
故$\dot{R}(t)R(t)^T$是一个反对称矩阵,而反对称矩阵可以使用一个三维向量转换得到,这个转换符号为^,在这里我们把这个三维向量记为$\phi$,即:$$\dot{R}(t)R(t)^T = \phi(t)^{\wedge} \;\;\;\;\;(-)$$
等价的是:$$(\dot{R}(t)R(t)^T)^{\vee} = \phi(t)$$
对(-)式两边同乘$R(t)$,得到:$$\dot{R}(t) = \phi(t)^{\wedge} R(t)$$
可以看到,虽然$R(t)$对加法不封闭,我们不能直接使用无穷小增量去定义它的导数,但是我们得到了对$R(t)$求导是就相当于左成一个$\phi^{\wedge}$
上式是一个关于$R$的微分方程,由初始条件$R(0)=I$
解得:$$R(t)=\exp(\phi_{0}^{\wedge}t)$$
每个李群都有与之对应的李代数,李代数描述了李群的局部性质,准确的说,是单位元附近的正切空间
李代数的定义直接粘贴到这里(写公式太麻烦了)
其中二元运算被称为李括号
例子:三维向量$\mathbb{R^3}$上定义的叉积$\times$是一种李括号,因此$\mathfrak{g}=(\mathbb{R^3},\mathbb{R},\times)$构成了一个李代数
如刚才所说,$\phi$是一种李代数的元素,记$\Phi=\phi^{\wedge} \in \mathbb{R^{3 \times 3}}$,$\phi_{1}和\phi_{2}$的李括号是:$$[\phi_{1},\phi_{2}]=(\Phi_{1} \Phi_{2} - \Phi_{2} \Phi_{1})^{\vee}$$
可以验证这个李括号符合上述4条性质
有时也使用$\hat{\phi}$表示反对称
下面直接给出$SE(3)$对应的李代数$\mathfrak{se}(3) \in \mathbb{R^6}$ $$\mathfrak{se}(3)=\left\{ \xi = \left[\begin{matrix} \rho \\ \phi \end{matrix} \right] \in \mathbb{R^6}, \rho \in \mathbb{R^3}, \phi \in \mathfrak{so}(3), \xi^{\wedge} = \left [\begin{matrix} \phi^{\wedge} & \rho \\ \mathbf{0^T} & 0 \end{matrix} \right] \in \mathbb{R^{4 \times 4}} \right\}$$
$\mathfrak{se}(3)$的元素记作$\xi$,它是一个六维向量,前三位为平移(含义与变换矩阵中的平移不同),记作$\rho$;后三维为旋转,记作$\phi$,实质上是$\mathfrak{so}(3)$的元素。同时,在这里,^不再表示反对称,而是表示从6维向量变为4维矩阵,依然保持的是^表示由向量变矩阵,$^\vee$表示又矩阵到向量。它的李括号是:$$[\xi_{1},\xi_{2}]=(\xi_{1}^{\wedge} \xi_{2}^{\wedge}-\xi_{2}^{\wedge} \xi_{1}^{\wedge})^{\vee}$$
和$\mathfrak{so}(3)$基本一样
指数映射和对数映射
这块直接给结论了,能大概理解就可以
注意:$\phi=\theta \mathbf{a}$
李代数求导与扰动模型
费了半天劲看了李群李代数内容,下面看看具体是做什么的吧
实际当中,我们常常需要对位姿进行估计。
使用李代数的一大动机就是进行优化,在优化过程中导数是非常重要的,一开始我们说李群加法不封闭,所以引入了李代数,李代数是加法封闭的,所以类似的,我们可以在李代数部分使用极限的思想来求导,但是在正式开始之前,我们还是要看看,$SO(3)$做两个矩阵乘法时候,李代数中是否就是做的加法,即下式是否成立:$$\exp(\phi_{1}^{\wedge}) \exp(\phi_{2}^{\wedge})=\exp((\phi_{1}+\phi_{2})^{\wedge})$$
如果是标量,无疑是成立的,但是现在是矩阵,两边取对数,得到:$$\ln(\exp(A) \exp(B))=A+B$$
就是研究这个式子是否成立。
Baker-Campbell-Hausdorff(BCH)公式告诉我们,这个式子不成立,成立的具体式子如下:$$\ln (\exp(A) \exp(B))=A+B+\frac{1}{2}[A,B]+\frac{1}{12}[A,[A,B]] -\frac{1}{12}[B,[A,B]] + ··· $$
其中[ ]为李括号。
虽然不相等,但是在实际工程中,我们好像也不需要一定相等,只要足够精确就够了,特别地,当$\phi_{1}$或$\phi_{2}$为小量时,小量二次以上的项都可以被忽略。从而,BCH有线性近似表达:
BCH线性近似表达
公式为:
这里的雅可比和上面的一样:
它的逆为:
右乘雅可比只需要对自变量取符号:$$\mathbf{J_{r}(\phi)}=\mathbf{J_{l}(-\phi)}$$
现在根据这个近似公式,我们就可以利用刚才我们希望的等式了,至少现在是近似相等了
比如,某个旋转矩阵$R$,设它对应的李代数是$\phi$,我们对它做乘一个微小旋转,记作$\Delta R$,对应的李代数为$\Delta \phi$,根据BCH近似有;$$\exp(\Delta \phi^{\wedge}) \exp(\phi^{\wedge})=\exp((\phi+\mathbf{J_{l}^{-1}(\phi)} \Delta \phi)^{\wedge})$$
反之,如果在李代数上进行微小的加法,可近似为李群上带左右雅可比的乘法:$$\exp((\phi+ \Delta \phi)^{\wedge})=\exp((\mathbf{J_{l}} \Delta \phi)^{\wedge}) \exp(\phi^{\wedge})=\exp(\phi ^{\wedge})\exp((\mathbf{J_{r}} \Delta \phi)^{\wedge})$$
$SO(3)$李代数求导
使用李代数解决求导问题的两种思路:
- 用李代数表示姿态,然后根据李代数加法对李代数求导
- 对李群左乘或右乘微小扰动,然后对该扰动求导,称为左扰动或右扰动模型
直接求导
假设对一个空间点$p$进行了旋转,得到$Rp$,现在要求旋转后的点坐标相对于旋转的导数,(非正式的)记为:$$\frac{\partial(Rp)}{\partial R}$$
$R$没有加法,无法直接求导,设其对应的李代数是$\phi$,有:$$R=\exp(\phi^{\wedge})$$带入有:$$\frac{\partial(\exp(\phi^{\wedge})p)}{\partial \phi}$$
$$\frac{\partial(\exp(\phi^{\wedge})p)}{\partial \phi}=\lim_{ \delta \to 0 } \frac{\exp((\phi + \delta \phi)^{\wedge})p-\exp(\phi ^{\wedge})p}{\delta \phi}$$再带入刚才的BCH近似公式:$$\frac{\partial(\exp(\phi^{\wedge})p)}{\partial \phi}=\lim_{ \delta \to 0 } \frac{\exp((\mathbf{J_{l}} \delta \phi)^{\wedge}) \exp(\phi^{\wedge})-\exp(\phi ^{\wedge})p}{\delta \phi}$$
把$\exp((\mathbf{J_{l}} \Delta \phi)^{\wedge})$进行线性近似(泰勒展开):$$\frac{\partial(\exp(\phi^{\wedge})p)}{\partial \phi}=\lim_{ \delta \to 0 } \frac{(I+(\mathbf{J_{l}} \delta \phi)^{\wedge}) \exp(\phi^{\wedge})-\exp(\phi ^{\wedge})p}{\delta \phi}$$
拆开有:$$\frac{\partial(\exp(\phi^{\wedge})p)}{\partial \phi}=\lim_{ \delta \to 0 } \frac{(\mathbf{J_{l}} \delta \phi)^{\wedge} \exp(\phi ^{\wedge})p}{\delta \phi}$$
我们知道^就相当于叉乘,所以有:$$\frac{\partial(\exp(\phi^{\wedge})p)}{\partial \phi}=\lim_{ \delta \to 0 } \frac{-(\exp(\phi ^{\wedge})p)^{\wedge} \mathbf{J_{l}} \delta \phi }{\delta \phi}$$
将$\delta \phi$消去,把$R$带回来,得到:$$\frac{\partial(\exp(\phi^{\wedge})p)}{\partial \phi}=-(Rp)^{\wedge} \mathbf{J_{l}}$$
最后得到旋转后的点相对于李代数的导数:$$\frac{\partial(Rp)}{\partial R}=-(Rp)^{\wedge} \mathbf{J_{l}}$$
缺点是结果中含有$\mathbf{J_{l}}$,这个雅可比的形式很复杂,而扰动模型就好很多
扰动模型(左乘)
$R$不能做加法,但是可以做乘法,下面对它进行左乘运算,左乘一个$\Delta R$,看这个$\Delta R$对$R$的影响有多大(左乘和右乘的结果有一点区别)同样需要引入李代数进行运算,设$\Delta R$对应的李代数为$\varphi$,对$\varphi$求导:$$\frac{\partial(Rp)}{\partial R}=\lim_{ \varphi \to 0 } \frac{\exp(\varphi^{\wedge}) \exp(\phi^{\wedge})p-\exp(\phi^{\wedge})p}{\varphi}$$
这次更简单,不需要使用BCH的结论了,直接使用泰勒展开:$$\frac{\partial(Rp)}{\partial R}=\lim_{ \varphi \to 0 } \frac{(I+ \varphi ^{\wedge}) \exp(\phi^{\wedge})p-\exp(\phi^{\wedge})p}{\varphi}$$
拆开得到:$$\frac{\partial(Rp)}{\partial R}=\lim_{ \varphi \to 0 } \frac{\varphi ^{\wedge} R p}{\varphi}$$
依然利用叉乘性质:$$\frac{\partial(Rp)}{\partial R}=\lim_{ \varphi \to 0 } \frac{-(Rp)^{\wedge} \varphi}{\varphi}=-(Rp)^{\wedge}$$
这个结果相对于直接对李代数求导,省去了一个雅可比的计算,所以扰动模型更加常用。
$SE(3)$李代数求导
这里就没有直接对李代数求导了,因为本身就麻烦,再加上$SE(3)$也麻烦,就更麻烦了
扰动模型
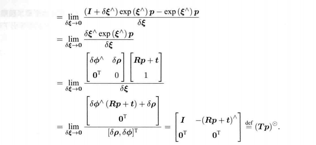
假设某空间点$p$经过一次变换$T$(对应的李代数是$\xi$),得到$Tp$,现在给$T$左乘一个扰动$\Delta T=\exp(\xi^{\wedge})$,设扰动项的李代数为$\delta \xi = [\delta \rho ,\delta \phi]^{T}$
就有:$$\frac{\partial(Tp)}{\partial \delta \xi}=\lim_{ \delta \to 0 } \frac {\exp(\delta \xi ^{\wedge}) \exp(\xi ^{\wedge})p-\exp(\xi ^{\wedge})p}{\delta \xi}$$
下面的推导就直接放到这里了:%E6%89%B0%E5%8A%A8%E6%A8%A1%E5%9E%8B.png)
最后的结果也使用一个算符$\odot$表示,把一个齐次坐标空间点,变为一个4 $\times$ 6的矩阵
补充:矩阵求导
假设$\mathbf{a,b,x,y}$都是列向量,那么有:
性质证明
下面做两道课后题:
1.证明:$Rp^{\wedge}R^{T}=(Rp)^{\wedge}$
这道题目关键在于利用旋转向量叉乘的性质
于是有($w$是一个三维向量):
$$Rp^{\wedge}R^{T} w=Rp \times R^T w=R(p\times R^{T}w)=Rp\times R R^{T}w=Rp \times w =(Rp)^{\wedge}w$$得证
2.证明:$R \exp(p^{\wedge}) R^{T}=\exp((Rp))^{\wedge}$
先带入刚刚证明的性质:$$\exp((Rp)^{\wedge})=\exp(R p^{\wedge} R^{T})$$
即证明:$$Rp^{\wedge}R^{T}=\exp(Rp^{\wedge}R^{T})$$
我们又根据无穷级数:$$\exp(A)=\sum_{k=0}^{\infty} \frac{A^{k}}{k!}$$
展开有:$$\exp(Rp^{\wedge}R^{T})=\sum_{k=0}^{\infty} \frac{(Rp^{\wedge}R^{T})^{k}}{k!}=\sum_{k=0}^{\infty} \frac{R(p^{\wedge})^{k}R^{T}}{k!}=R \sum_{k=0}^{\infty} \frac{(p^{\wedge})^{k}}{k!} R^{T}=R \exp(p^{\wedge})R^{T}$$
得证