矩阵求导

标量函数对向量求导

向量函数对向量求导

常用公式:

  • 线性变换$$\frac{\partial Ax}{\partial x^{T}}=A$$
  • 恒等变换$$\frac{\partial x}{\partial x^{T}}=I$$
  • 零矩阵,a为常数向量$$\frac{\partial a}{\partial x^{T}}=0$$
  • 梯度行向量($a^{T}x$是标量)$$\frac{\partial a^{T}x}{\partial x^{T}}=a^{T}$$
  • 和$$\frac{\partial x^T a}{\partial x^{T}}=a^{T}$$
  • 二次型梯度($x^{T}Ax$是标量)$$\frac{\partial x^{T} A x}{\partial x^{T}}=x^{T}(A+A^{T})$$
  • 链式法则:若$z=f(y),y=g(x)$,则:$$\frac{\partial z}{\partial x^{T}}=\frac{\partial z}{\partial y^{T}}\cdot \frac{\partial y}{\partial x^{T}}$$

迹的性质

迹可以用于推导矩阵的导数
迹就是方阵主对角线元素之和,是一个标量

  • 线性性$$tr(A+B)=tr(A)+tr(B)$$ $$tr(cA)=ctr(A),\;\;\;c\in \mathbb{R}$$
  • 转置不变$$tr(A)=tr(A^{T})$$
  • 循环置换(Cyclic Permutation)$$tr(ABC)=tr(BCA)=tr(CAB) \;\;\;\;\;\;\;\;\;tr(AB)=tr(BA)$$
  • 标量即迹$$a=tr(a)$$
  • 导数性质$$dtr(A)=tr(dA)$$
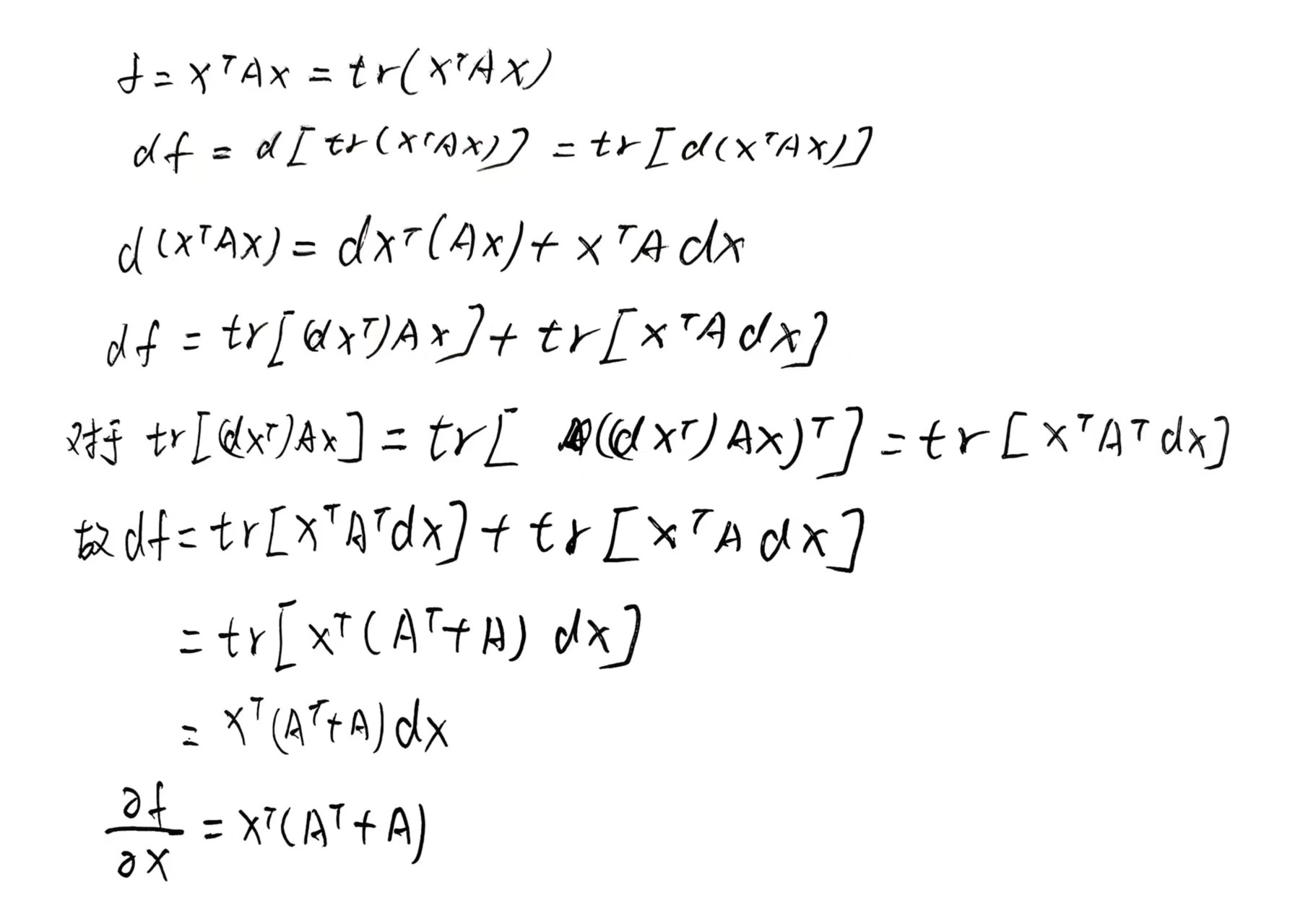
    使用迹推导$x^{T}Ax$的求导公式:

第六章

非线性优化

思路:
问题提出(带噪声的SLAM状态估计)→ 概率框架(最大后验/最大似然估计)→ 数学转化(最小二乘问题)→ 求解方法(非线性优化)→ 具体算法(高斯牛顿/LM法)→ 实践工具(Ceres/g2o)

经过一通操作,成功从问题分析,提出概率问题,得到最大似然估计,再通过高斯分布,取负对数等操作得到一个最小二乘问题:$$min J(x,y)=\sum_{k}e^{T}_{u,k} R^{-1}_{k} e_{{u,k}}+\sum_{k} \sum_{j}e^{T}_{{z,k,j}}Q^{-1}_{{k,j}}e_{{z,k,j}}$$
然后开始解决这个最小二乘问题,方法就是这些非线性优化的办法:牛顿法,高斯牛顿法,列文伯格-马夸尔特方法,最后从代码层面,介绍常用的Ceres和g2o库

由于内容又臭又长,这里只给结论

非线性优化方法

牛顿法

$$H \Delta x=-J$$

高斯牛顿法

对$f(x)$进行一阶泰勒展开:$$f(x+\Delta x) \approx f(x)+J^{T}(x)\Delta x$$
推导得到:

$$J(x)J^{T}(x) \Delta x=-J(x)f(x)$$

把$J(x)J^{T}(x)$记作$H(x)$,把$-J(x)f(x)$记作$g(x)$
得到:$$H\Delta x=g$$

列文伯格-马夸尔特方法

在高斯牛顿法的基础上,给$\Delta x$添加了一个范围,称为信赖区域(Trust Region)。
它定义了在什么情况下二阶近似是有效的,这类方法也称为信赖区域方法(Trust Region Method),在信赖区域里,我们认为近似是有效的,出了这个区域,近似可能会出现问题。
定义一个指标$\rho$来刻画近似的好坏程度:$$\rho=\frac{f(x+\Delta x)-f(x)}{J(x)^{T} \Delta x}$$
分子是实际函数下降的值,分母是近似模型下降的值。
如果$\rho$接近于1,则近似是好的,如果$\rho$太小,说明实际减少的值远小于近似减小的值,则认为近似比较差,需要缩小近似范围;反之,如果$\rho$比较大,则说明实际下降的比预计的更大,我们可以放大近似范围

根据式(6.35),解这个方程来获得梯度,结果是:$$(H+\lambda D^{T}D)\Delta x_{k}=g$$
简化形式是令$D=I$:$$(H+\lambda I)\Delta x_{k}=g$$
(当问题性质较好时,用高斯牛顿,如果问题接近病态,则用LM法)

Ceres与g2o

Ceres与g2o是两种优化库,具体直接看书,看代码即可

例题

书上有一个手写高斯牛顿法的例题,这里写一遍,并把实现代码手敲到这里。
例子是曲线拟合:
考虑一条曲线,方程如下:$$y=\exp(ax^{2}+bx+c)+w$$

$a,b,c$为曲线参数,$w$为噪声,服从高斯分布,$w \sim (0,\sigma^{2})$ ,那么目标就是最小化这个函数:$$\underset{a,b,c}{min} \frac{1}{2} \sum^{N}_{i=1} \| (y_{i}-\exp(ax^{2}_{i}+bx_{i}+c)) \|^{2}$$

定义误差为:$$e_{i}=y_{i}-\exp(ax^{2}_{i}+bx_{i}+c)$$
又知道$J$是误差项的一阶导数,故:

  • $\frac{\partial e_{i}}{\partial a}=-x_{i}^{2}\exp(ax_{i}^{2}+bx_{i}+c)$
  • $\frac{\partial e_{i}}{\partial b}=-x_{i}\exp(ax_{i}^{2}+bx_{i}+c)$
  • $\frac{\partial e_{i}}{\partial c}=-\exp(ax_{i}^{2}+bx_{i}+c)$ 故:$$J=\left[\frac{\partial e_{i}}{\partial a},\frac{\partial e_{i}}{\partial b},\frac{\partial e_{i}}{\partial c}\right]^{T}$$
    刚才推导的结果是:$$J(x)J^{T}(x) \Delta x=-J(x)f(x)$$
    误差所占的权重不同,向里面加入权重:$$J(x) \Sigma^{-1} J^{T}(x) \Delta x=-J(x) \Sigma^{-1} f(x)$$
    这个问题中,各个误差间是独立的,权重就可以写为:$$\Sigma^{-1}=diag\left( \frac{1}{\sigma_{1}^{2}}, \frac{1}{\sigma_{2}^{2}}, \dots, \frac{1}{\sigma_{N}^{2}} \right)$$
    假设有100个观测数据,即$N=100$,把上述条件带入增量方程,得到:$$\left( \sum^{100}_{i=1} J (\sigma^{2}_{i})^{-1} J^{T} \right) \Delta x_{k}= \sum^{100}_{i=1} - J(\sigma_{i}^{2})^{-1} e_{i}$$
    下面使用代码演示:
1
2
3
4
5
6
7
8
9
10
11
12
13
14
15
16
17
18
19
20
21
22
23
24
25
26
27
28
29
30
31
32
33
34
35
36
37
38
39
40
41
42
43
44
45
46
47
48
49
50
51
52
53
54
55
56
57
58
59
60
61
62
63
64
65
66
67
68
69
70
71
72
73
74
75
76
77
78
79
80
81
82
#include <iostream>
#include <chrono>
#include <opencv2/opencv.hpp>
#include <Eigen/Core>
#include <Eigen/Dense>

using namespace std;
using namespace Eigen;

int main(int argc, char **argv)
{
double ar = 1.0, br = 2.0, cr = 1.0; //真实参数
double ae = 2.0, be = -1.0, ce = 5.0; //估计参数值(初始值)
int N = 100; //数据点个数
double w_sigma = 1.0; //噪声Sigma值
double inv_sigma = 1.0 / w_sigma; //变为权重,就是取个倒数
cv::RNG rng; //OpenCV随机数产生器

vector<double> x_data, y_data; //数据
for(int i=0;i<N;i++)
{
double x=i/100.0;
x_data.push_back(x);
y_data.push_back(exp(ar*x*x+br*x+cr)+rng.gaussian(w_sigma * w_sigma));
} //到此就把数据生成完了

//开始Gauss-Newton迭代
int iterations = 100; //迭代次数
double cost = 0, lastCost = 0; //本次迭代的cost和上一次迭代的cost

chrono::steady_clock::time_point t1 = chrono::steady_clock::now();//计时器

for(int iter=0;iter<iterations;iter++)
{
Matrix3d H = Matrix3d::Zero(); //Hessian = J^T W^{-1} J in Gauss-Newton
Vector3d b = Vector3d::Zero(); //bias
cost=0;

for(int i=0;i<N;i++)
{
double xi=x_data[i], yi=y_data[i]; //第i个数据点
double error = yi - exp(ae*xi*xi+be*xi+ce);
Vector3d J;//雅可比矩阵
J[0]=-xi*xi*exp(ae*xi*xi+be*xi+ce);//de/da
J[1]=-xi*exp(ae*xi*xi+be*xi+ce);//de/db
J[2]=-exp(ae*xi*xi+be*xi+ce);//de/dc

H+=inv_sigma*inv_sigma*J*J.transpose();
b+=-inv_sigma*inv_sigma*error*J;

cost+=error*error;
}

//求解线性方程Hx=b
Vector3d dx = H.ldlt().solve(b);
if (isnan(dx[0]))
{
cout << "result is nan!" << endl;
break;
}

if(iter>0&&cost>=lastCost)
{
cout << "cost: " << cost << ">= last cost: " << lastCost << ", break." <<endl;
break;
}

ae+=dx[0];
be+=dx[1];
ce+=dx[2];

lastCost=cost;

cout << "total cost: " << cost << ", \t\tupdate: " << dx.transpose() << "\t\testimated params: " << ae << "," << be << "," << ce << endl;
}
chrono::steady_clock::time_point t2 = chrono::steady_clock::now();
chrono::duration<double> time_used = chrono::duration_cast<chrono::duration<double>>(t2 - t1);
cout << "solve time cost = " << time_used.count() << " seconds. " << endl;

cout << "estimated abc = " << ae << ", " << be << ", " << ce << endl;
return 0;
}